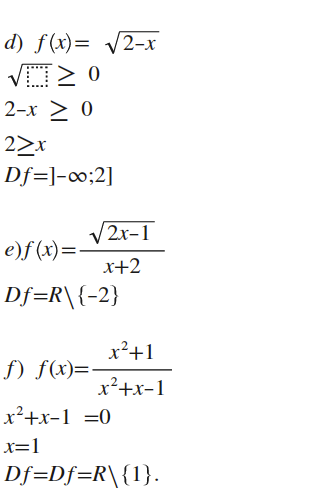
Domaine De Definition Racine Carre. Bonjour jai un petit soucis avec un exercice sur les fonctions associées donc on dira que la racine carré V. Déterminer le domaine de définition de la fonction. Fonctions avec racine carrée 6 exemples - YouTube. Dès le début de la vidéo tu auras les 6 exemples sous les yeux.
Trouver le domaine de définition dune fonction avec racine carrée et second degré première maths - YouTube. Domaine de définition. Conclure sur le domaine de définition La fonction f est définie sur lensemble des réels vérifiant les deux conditions. Prenons léquation suivante. Montrer que lensemble de definition de f. Définition et propriétés - cours.
Révisez en Seconde.
La racine carrée dun nombre positif a est le nombre positif dont le carré est a. Le domaine de définition dune fonction rationnelle est Toujours R en excluant les valeurs ou sannule le polynôme du dénominateur. Mets la vidéo sur pause et essaie de trouver le. Trouver le domaine de définition dune fonction avec racine carrée et second degré première maths - YouTube. Son ensemble de définition est. Chercher le domaine de définition dune fonction avec une racine carrée 1.